
Introducción
La fibrilación auricular es la arritmia cardíaca sostenida más común y se asocia con un aumento de cinco veces en el riesgo de accidente cerebrovascular. El tratamiento con anticoagulantes reduce el riesgo en aproximadamente dos tercios.
La fibrilación auricular no valvular se clasifica en tres subtipos: paroxística si el ritmo normal se restablece espontáneamente; persistente si el episodio dura más de siete días o se finaliza antes con un fármaco o cardioversión de corriente directa; y permanente si la cardioversión no restablece el ritmo cardiaco normal. Se puede usar catéter o ablación quirúrgica cuando la cardioversión falla o hay evidencia de un trastorno electrofisiológico subyacente.
La fibrilación auricular se puede caracterizar como resuelta una vez que se restablece el ritmo normal, pero es posible la recurrencia posterior después de la resolución espontánea o la cardioversión. De forma similar, las tasas de éxito a largo plazo de la ablación pueden ser tan bajas como del 20% .
Los pacientes en los que la fibrilación auricular se considera resuelta pueden tener de hecho subtipos paroxísticos o persistentes, o fibrilación auricular que pueden recurrir. Dichos pacientes pueden seguir teniendo un mayor riesgo de accidente cerebrovascular y continuar beneficiándose de la profilaxis anticoagulante.
Resumen
Los pacientes con "fibrilación atrial resuelta" aún tienen un riesgo elevado de accidente cerebrovascular
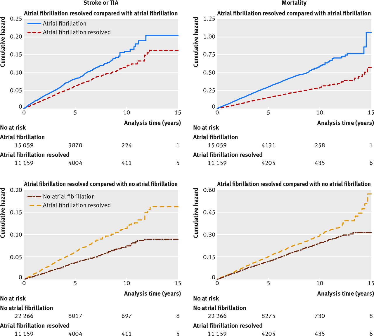
Los pacientes con "fibrilación auricular (AF) resuelta" todavía tienen riesgo de accidente cerebrovascular o ataque isquémico transitorio (AIT), según un estudio retrospectivo en The BMJ.Los investigadores de los EE. UU. compararon a 11,000 pacientes cuya FA se consideró resuelta con 15,000 pacientes con FA no resuelta y 22,000 sin historia de FA.
Durante una mediana de seguimiento de aproximadamente 3 años, la tasa de accidente cerebrovascular o AIT entre aquellos con AF resuelta fue 59% más alta que entre aquellos sin FA (12.1 vs. 7.4 por 1000 años-persona), pero aún no fue tan alto como aquellos con AF actual (16.7 por 1000 persona-años). Las tasas de mortalidad siguieron un patrón similar.
Solo el 17% de los pacientes tenía una receta anticoagulante actual cuando se les diagnosticó una FA resuelta.
Los autores concluyen: "Estos pacientes se beneficiarían con la profilaxis anticoagulante continuada, pero las tasas de tratamiento en este grupo son extremadamente bajas. Se recomienda actualizar las guías nacionales e internacionales para recomendar el uso continuo del tratamiento anticoagulante en pacientes con fibrilación auricular resuelta".
